qq二维码200叫小妹,郑州上门服务24小时接单平台,免费同城空降,200块钱24小时上门二维码

虞城县新起点职业培训学校

中华人民共和国人力资源和社会保障部备案

国家职业技能等级认定第三方评价机构

河南省专项职业能力考核机构

河南省乡村建设工匠培训基地

公平

科学

权威

公正

独立

规范

公开

专业

溯源

当前位置:首页 >> 通知公告>>  成绩公示

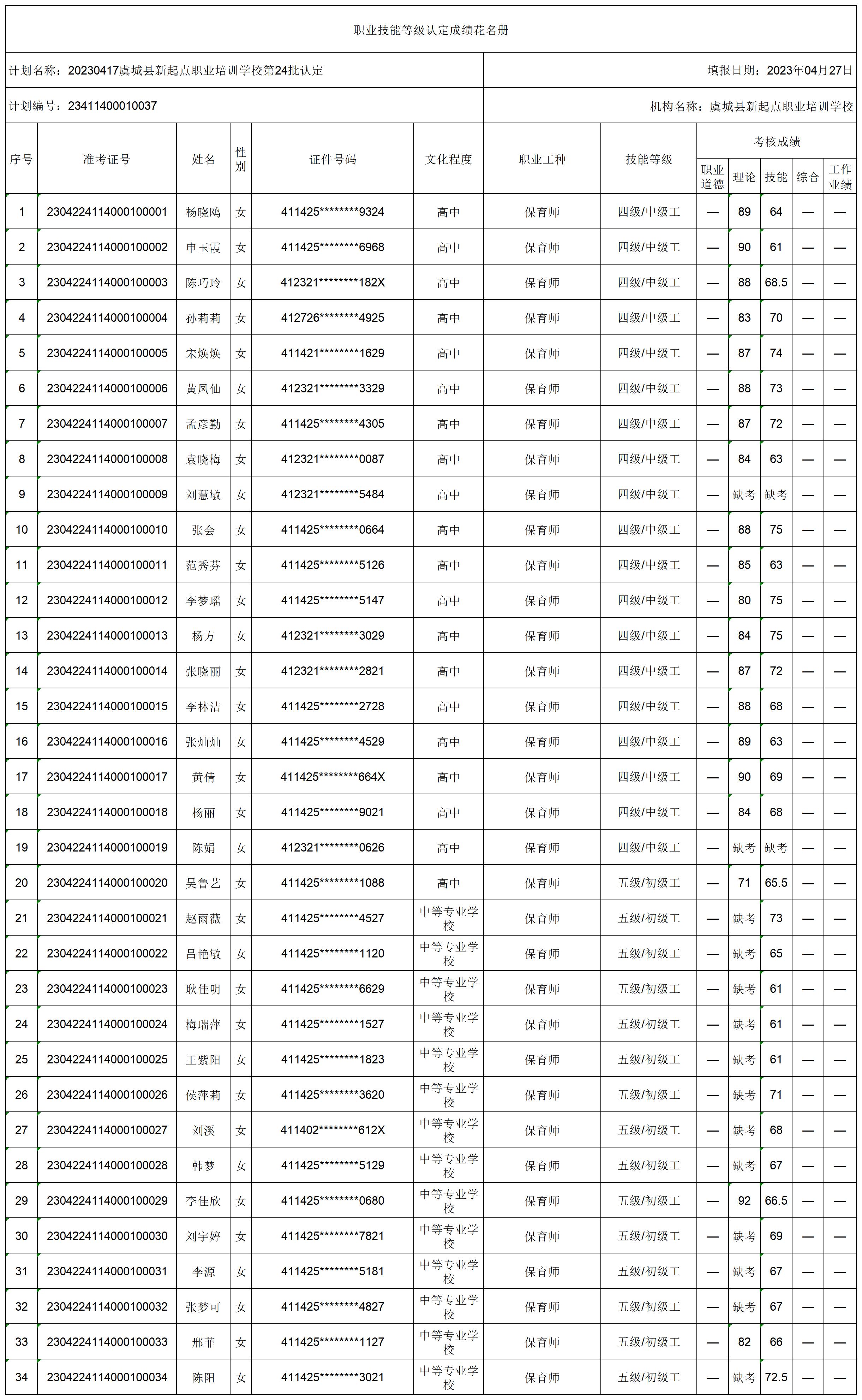
20230417虞城县新起点职业培训学校第24批职业技能等级认定成绩公示

发布时间:2023-04-29 07:03:54    浏览:

按照《人力资源和社会保障部职业技能等级认定工作规程(试行)》(人社职司便函〔2020〕17号)相关规定,现将职业技能等级认定考试成绩公示如下,公示期自发布之日起5个工作日,期间若有异议,请以书面方式向我校反映。受理异议后将在5个工作日内完成复核,并以书面回执给予回复,电话0370-4666999,邮箱ycxxqd@163.com。
20230417虞城县新起点职业培训学校第24批认定职业技能等级认定人员成绩花名册_certStatWithWork.jpg
主站蜘蛛池模板: 佛山市| 从化市| 图木舒克市| 灵丘县| 隆昌县| 太康县| 泗洪县| 阳谷县| 响水县| 张掖市| 陆丰市| 肇源县| 潞西市| 卓尼县| 沙坪坝区| 密山市| 资兴市| 扬州市| 潢川县| 屯留县| 建瓯市| 余庆县| 马山县| 临高县| 河西区| 青阳县| 上林县| 东明县| 登封市| 玉山县| 平原县| 呼玛县| 苍山县| 雷山县| 昭觉县| 思茅市| 拉萨市| 剑川县| 巫山县| 韶关市| 江山市|