qq二维码200叫小妹,郑州上门服务24小时接单平台,免费同城空降,200块钱24小时上门二维码

虞城县新起点职业培训学校

中华人民共和国人力资源和社会保障部备案

国家职业技能等级认定第三方评价机构

河南省专项职业能力考核机构

河南省乡村建设工匠培训基地

公平

科学

权威

公正

独立

规范

公开

专业

溯源

当前位置:首页 >> 通知公告>>  成绩公示

20230621虞城县新起点职业培训学校第42批职业技能等级认定合格人员成绩公示

发布时间:2023-07-04 10:10:15    浏览:

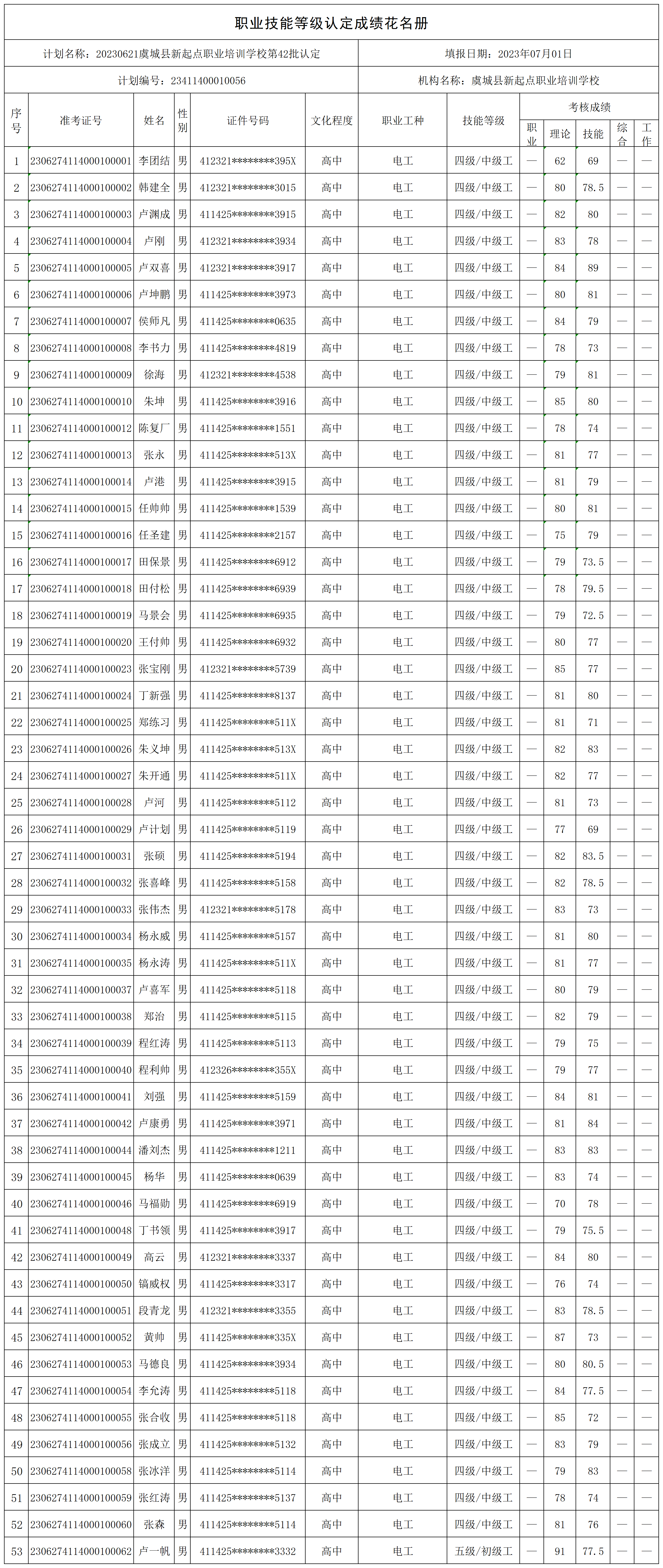
   根据《人力资源和社会保障部职业技能等级认定工作规程(试行)》(人社职司便函〔2020〕17号)相关规定,现将职业技能等级认定考试成绩公示如下,公示期自发布之日起5个工作日,期间若有异议,请以书面方式向我校反映。受理异议后将在5个工作日内完成复核,并以书面回执给予回复,电话0370-4666999,邮箱ycxxqd@163.com。20230621虞城县新起点职业培训学校第42批认定(东环路电工+住建3)职业技能等级认定人员成绩花名册_certStatWithWork.png
主站蜘蛛池模板: 安丘市| 获嘉县| 阳山县| 江口县| 礼泉县| 蒲江县| 浦城县| 武穴市| 鄂尔多斯市| 云安县| 凌海市| 准格尔旗| 绥滨县| 瑞金市| 宁夏| 永寿县| 红安县| 泊头市| 江达县| 阿拉尔市| 门源| 五常市| 雅安市| 阜南县| 达拉特旗| 萨迦县| 盘山县| 资兴市| 伊川县| 嵊州市| 公主岭市| 弥勒县| 油尖旺区| 嵊泗县| 三河市| 宿州市| 沙坪坝区| 故城县| 乐至县| 莆田市| 图木舒克市|