qq二维码200叫小妹,郑州上门服务24小时接单平台,免费同城空降,200块钱24小时上门二维码

虞城县新起点职业培训学校

中华人民共和国人力资源和社会保障部备案

国家职业技能等级认定第三方评价机构

河南省专项职业能力考核机构

河南省乡村建设工匠培训基地

公平

科学

权威

公正

独立

规范

公开

专业

溯源

当前位置:首页 >> 通知公告>>  成绩公示

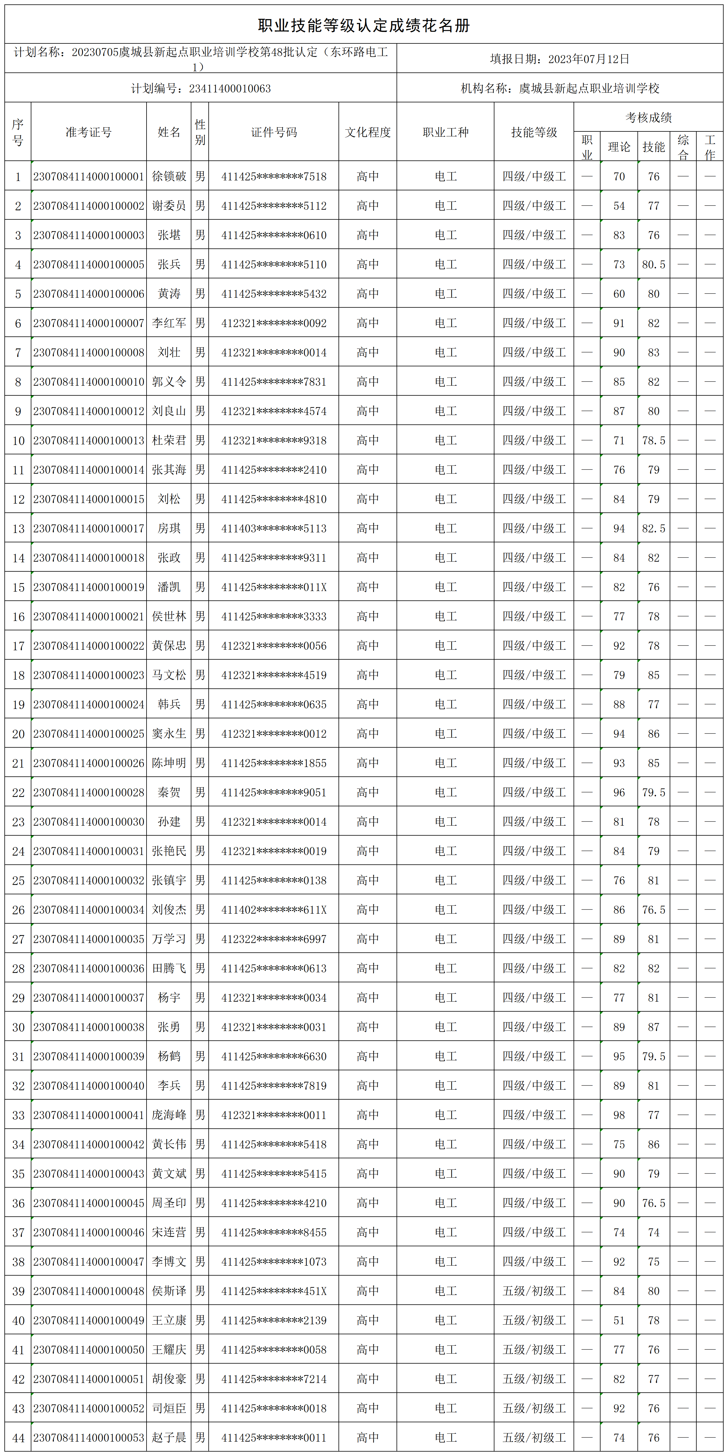
20230705虞城县新起点职业培训学校第48批认定职业技能等级认定合格人员成绩公示

发布时间:2023-07-12 21:01:22    浏览:

根据《人力资源和社会保障部职业技能等级认定工作规程(试行)》(人社职司便函〔2020〕17号)相关规定,现将职业技能等级认定考试成绩公示如下,公示期自发布之日起5个工作日,期间若有异议,请以书面方式向我校反映。受理异议后将在5个工作日内完成复核,并以书面回执给予回复,电话0370-4666999,邮箱ycxxqd@163.com。


20230705虞城县新起点职业培训学校第48批认定(东环路电工1)职业技能等级认定人员成绩花名册_certStatWithWork.png
主站蜘蛛池模板: 江西省| 五华县| 文登市| 开远市| 万宁市| 阿巴嘎旗| 盱眙县| 福泉市| 河东区| 镇巴县| 盐山县| 舞钢市| 准格尔旗| 潜江市| 城固县| 阜新| 正安县| 莫力| 化隆| 大余县| 嘉禾县| 米泉市| 化德县| 慈溪市| 德州市| 永胜县| 安顺市| 陆河县| 即墨市| 修武县| 佛山市| 清镇市| 沐川县| 勐海县| 怀宁县| 农安县| 新河县| 漾濞| 观塘区| 台北市| 尚义县|