20230802虞城县新起点职业培训学校第63批职业技能认定合格人员成绩公示
发布时间:2023-08-10 11:45:54 浏览:次
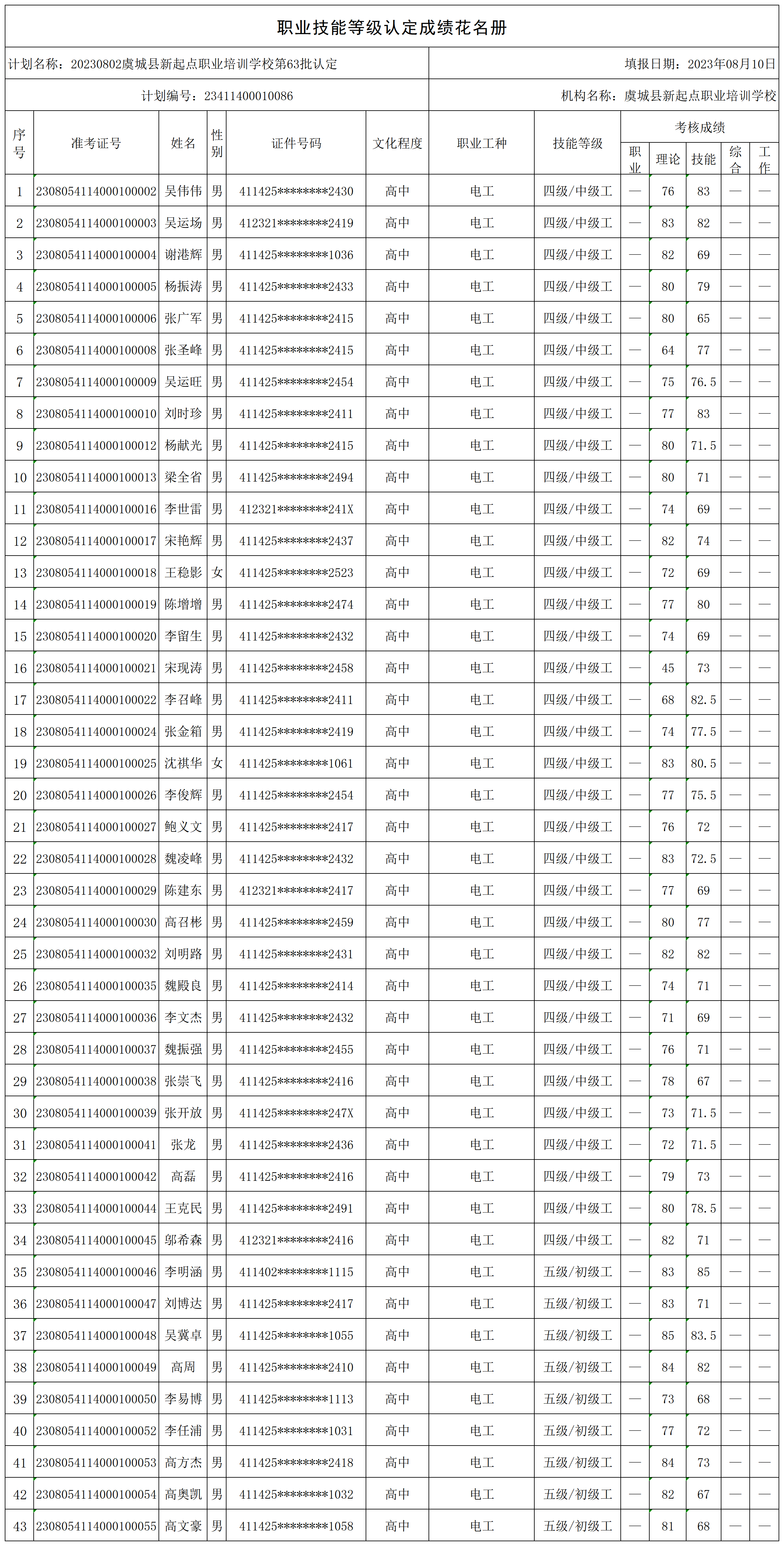
按照《人力资源和社会保障部职业技能等级认定工作规程(试行)》(人社职司便函〔2020〕17号)相关规定,现将职业技能等级认定考试成绩公示如下,公示期自发布之日起5个工作日,期间若有异议,请以书面方式向我校反映。受理异议后将在5个工作日内完成复核,并以书面回执给予回复,电话0370-4666999,邮箱ycxxqd@163.com。
虞城县新起点职业培训学校
中华人民共和国人力资源和社会保障部备案
国家职业技能等级认定第三方评价机构
河南省专项职业能力考核机构
河南省乡村建设工匠培训基地
公平
科学
权威
公正
独立
规范
公开
专业
溯源
发布时间:2023-08-10 11:45:54 浏览:次
按照《人力资源和社会保障部职业技能等级认定工作规程(试行)》(人社职司便函〔2020〕17号)相关规定,现将职业技能等级认定考试成绩公示如下,公示期自发布之日起5个工作日,期间若有异议,请以书面方式向我校反映。受理异议后将在5个工作日内完成复核,并以书面回执给予回复,电话0370-4666999,邮箱ycxxqd@163.com。