qq二维码200叫小妹,郑州上门服务24小时接单平台,免费同城空降,200块钱24小时上门二维码

虞城县新起点职业培训学校

中华人民共和国人力资源和社会保障部备案

国家职业技能等级认定第三方评价机构

河南省专项职业能力考核机构

河南省乡村建设工匠培训基地

公平

科学

权威

公正

独立

规范

公开

专业

溯源

当前位置:首页 >> 通知公告>>  成绩公示

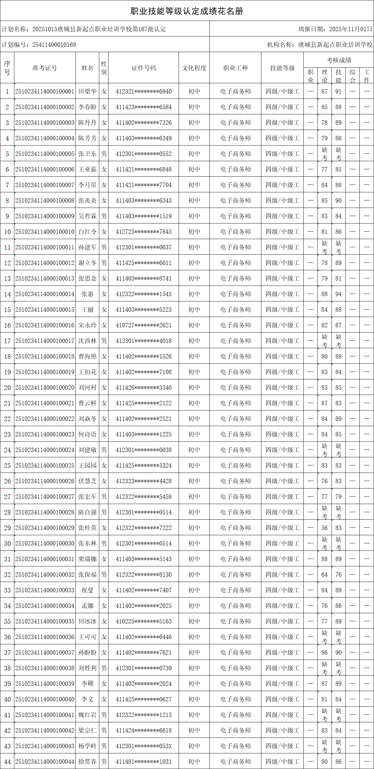
20251015虞城县新起点职业培训学校第167批认定成绩公示

发布时间:2025-10-23 17:28:02    浏览:

    按照《人力资源和社会保障部职业技能等级认定工作规程(试行)》(人社职司便函〔2020〕17号)相关规定,现将职业技能等级认定考试成绩公示如下,公示期自发布之日起5个工作日,期间若有异议,请以书面方式向我校反映。受理异议后将在5个工作日内完成复核,并以书面回执给予回复,电话0370-4666999,邮箱ycxxqd@163.com

微信图片_2025-11-02_172917_865.png
主站蜘蛛池模板: 景宁| 岱山县| 万州区| 满洲里市| 贵溪市| 玛多县| 宝山区| 平阴县| 新巴尔虎右旗| 新竹市| 吉水县| 黔西| 烟台市| 洛隆县| 泸西县| 涞源县| 荆门市| 肃北| 灌云县| 永福县| 镇沅| 台中县| 东阳市| 嘉祥县| 荆门市| 清新县| 密云县| 江川县| 汝城县| 河源市| 龙陵县| 桃源县| 白玉县| 洛阳市| 织金县| 来凤县| 营山县| 洪雅县| 绥中县| 依安县| 阳曲县|